Contact : Jitendra Shah : +91 94261 75370
Paras Shah : +91 97129 02016
Email id : info@parasfilter.com
parasfilter@gmail.com

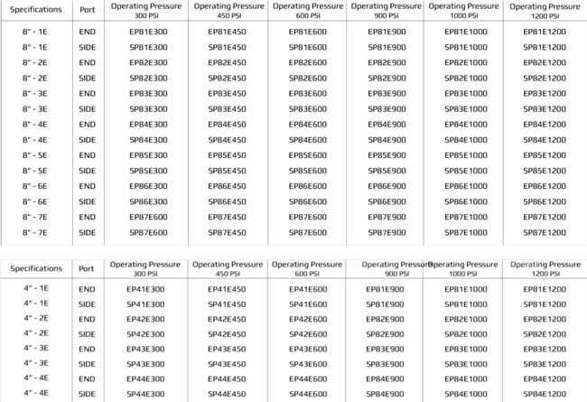
FRP Membrane Housing

High precision FRP winding technology & superior raw material go into the manufacturing of RO housings. This enable to withstand high pressure. FRP material provide resistance to almost all chemicals & hence can be used in a variety of corrosive environment. Being light weight, these housings are easier to transport and install. RO housing comes with complete head assembly. The Pressure Tube we offer is quality tested and used as housing for various brackish water, reverse osmosis and sea water desalination.

 

space